Publicrecordampertien
Home
»
151-RA-AEGO
Take Due Notice of my Public Declaration of NON-Consent !
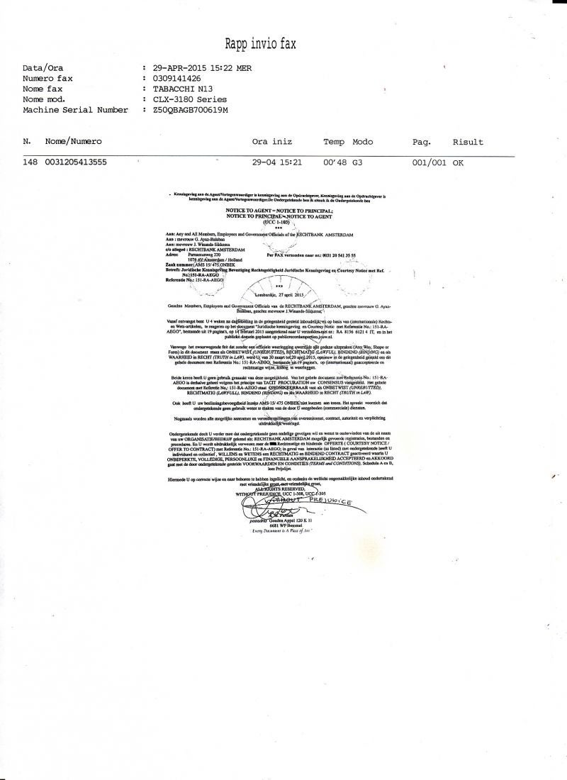
151-RA-AEGO
IN: 26/1/15
UIT:14/2/15
IN:25/2/15
UIT: 30/3/15
IN: 15/4/15
UIT: 29/4/15
Maak jouw eigen website met
JouwWeb
Publicrecordampertien
Home
153-GAL-AEGO
NO REPRESENTMENT
EUROPEAN UNION
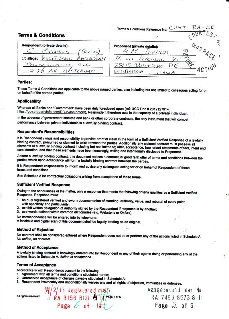
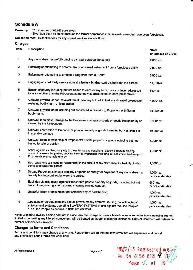
TERMS & CONDITIONS
DECLARATION OF FACTS
Pope Francis
Maak jouw eigen website met JouwWeb